Simbolos Que Se Utilizan En Un Organigrama
La clasificación suplementaria dice que Estos organigrama se utilizan para mostrar una unidad de la estructura en forma analítica o más detallada tales unidades pueden ser una dirección una división un departamento una gerencia etc. Incluyen tanto el nombre completo pej Unipolar tiro sencillo y su abreviación en este caso SPST.

Simbologia Bar Chart Chart Diagram
Estos símbolos provienen del Lenguaje Unificado de Modelado o UML que es un estándar internacional para el trazado de mapas de procesos.
Simbolos que se utilizan en un organigrama. Los símbolos se emplean para caracterizar las diversas acciones o situaciones que se puedan presentar en un procedimiento. Aquellas que indican autoridad formal relación de línea o mando comunicación y la vía jerárquica. Existen normas que rigen la forma de presentación y disposición de los símbolos. Viendo la gran demanda que tiene la búsqueda de información en referencia a ORGANIGRAMAS me veo en la obligación de brindarle más informaciónEn este nuevo artículo nos enfocaremos en los Elementos gráficos de un organigrama empresarial pautas y características técnicas las cuales son mucha aceptación y pueden ser utilizadas al momento. A los símbolos de procesos también se los conoce comúnmente como símbolos de diagramas de flujo o figuras de diagramas de flujo. Los diagramas de flujo generalmente se diseñan usando símbolos simples como un rectángulo un óvalo o un.
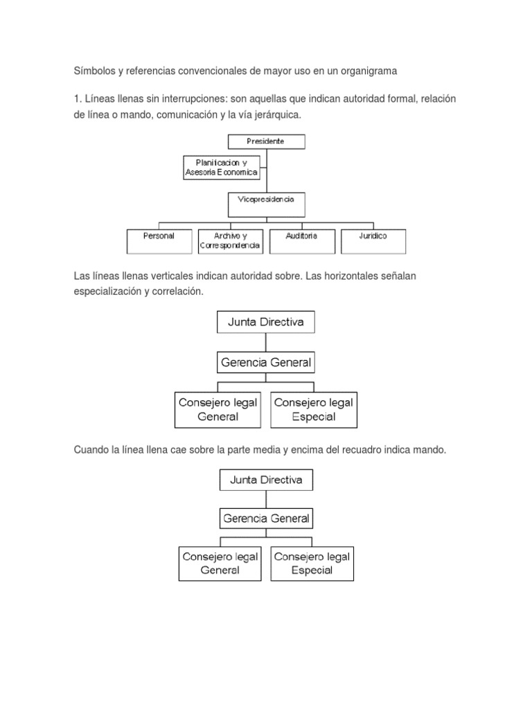
Las líneas de mando deben caer siempre en forma vertical sobre el órgano inmediato que va a recibir las órdenes del anterior. Este tipo de organigrama tiene por finalidad el anlisis de determinados aspectos del comportamiento organizacional como tambin de cierto tipo de informacin que presentada en un organigrama permite la ventaja de la visin macro o global de la misma tales son los casos de anlisis de un presupuesto de la distribucin de la planta de. Los símbolos eléctricos básicos se utilizan para simplificar el dibujo y ayudar a las personas a entender el dibujo eléctrico. Para la confección de los mismos se utilizan símbolos y reglas convencionales. Símbolos y Referencias de Mayor Uso en un Organigrama. Flujo de entrada significa fluir hacia el interior.
Organigrama pio pollo con estilo. Representa las estructuras departamentales y en algunos casos las personas que las dirigen hacen un esquema sobre las relaciones jerárquicas y competenciales de vigor en. Al construir un organigrama se debe tener presente. Las líneas de nivel son siempre horizontales. Líneas llenas sin interrupciones. Finalmente se muestra el aspecto legal fiscal laboral y ecológico que debe tomar en cuenta toda organización para iniciar sus operaciones o.
Línea llena sobre parte media y encima de recuadro. Estos se explican ahora junto con las reglas que se aplican a ellos. Símbolos Usuales para Identificar el Tipo de Unidad Administrativa. El área de operaciones se constituye como área de integración global. El software EdrawMax es un programa todo-en-uno que le ayuda a hacer sus diagramas más eficaces y creativos. Hay algunos símbolos que se utilizan en el dibujo de diagramas de procesos de negocio diagramas de flujo de datos.
Delimitar con precisión las unidades o Dependencias. Para tener una imagen de cómo se utilizan los símbolos en un organigráfico se incluye un ejemplo figura 469. Existe una amplia variedad de formas de diagramas de flujo. Diagrama del Flujo del Proceso de Produccion de Alcohol Absoluto Partiendo de Mieles. Son complemento de los analíticos dice que Según de la forma y disposición geométrica de los. En un organigrama se localiza el tipo de unidades que conforman la estructura de.
Recuerda que la mayoría de los gráficos pueden trazarse con solo unos pocos símbolos comunes los cuales están enumerados a. Cada elemento en un mapa de procesos está representado por un símbolo específico. Niños Trabajo y Simbolos De Un Organigrama De Empresa Breve Artículo que te enseña los entresijos de Simbolos De Un Organigrama De Empresa y lo que tienes que hacer hoy Soluciones sobre Simbolos De Un Organigrama De Empresa Lo que Todos los demás Hacen En relación Con Simbolos De Un Organigrama De Empresa y lo que Necesitas saber. Un organigrama es la representación gráfica de la estructura de una empresa u organización. En Lucidchart hay cuatro tipos principales de símbolos de relés que están etiquetados. Ya sea en procesos de crecimiento o en ajustes de personal el organigrama facilita a los directivos de la empresa tener una idea clara y real de la situación actual facilitando identificar a las personas clave dentro de la organización.
Flujo de salida significa fluir hacia el exterior. Por otra parte se definen otras herramientas como el organigrama y la planeación de los recursos humanos con la finalidad de proponer un perfil adecuado y seguir en la alineación del logro de las metas empresariales. Un punto importante es la información adicional que el organigrama pueda mostrar a los usuarios. El área de investigación y desarrollo se considera como área estratégica de proceso esencial. Los símbolos eléctricos están estandarizados en toda la industria por lo que son fáciles de interpretar. Edraw está celebrando su 17º aniversario este año y en esta ocasión especial Edraw ha llegado con una venta especial de aniversario donde se puede reclamar hasta un 60 de descuento en sus productos.
Diagrama de flujo vertical. Significa que pasará un tiempo antes de que el flujo del proceso continúe. Cada símbolo tiene un significado específico y un contexto donde su uso es apropiado. Puedes fácilmente girar un relé o cualquier otro ícono en Lucidchart para que se ajuste a los parámetros de tu diagrama electrónico. Como bien se ha expresado de manera tácita líneas arriba el organigrama tiene. Símbolos de diagramas de flujo de datos.
Esto demuestra que se debe tomar una decisión y que el flujo del proceso va a seguir cierta dirección según esta.
Simbolos Fi Pdf Tecnologias De La Informacion Ingenieria Informatica
Paso 4 Tecnicas De Representacion De Algoritmo Existen Varias Tecnicas Para Representar Un Algoritmo Para Hacerlo Se Utilizan Formas Metodos Escritos Graficos Etc Los Metodos Mas Usados Son Diagramas De Flujo Pseudocodigo Diagrama De Flujo Un

Introduccion A Los Sistemas De Informacion Tp 05 Organigramas Cursograma Y Workflow

Monster Island A Great Vacation

Simbolos Utilizados Para Identificar El Tipo De Unidad Administrativa Bar Chart Chart
Simbolos Y Referencias Convencionales De Mayor Uso En Un Organigrama Pdf

Edublog Consulta I Organigramas Resumen

Los Organigramas Educ Tecnologica Administracion Orientacion En Contextos Laborales Tics

Simbolos Uzados Para Representar Las Relaciones De Comunicacion Bar Chart Chart
![]()
Iconos De Equipo Organigrama Simbolo Imagen Png Imagen Transparente Descarga Gratuita

Diseno De Los Organigramas Simbologia Rectangulo Lineas De Conexion Simbolos De Las Relaciones De Comunicacion Simbolos De Unidad Administrativas Exten Blog



Posting Komentar untuk "Simbolos Que Se Utilizan En Un Organigrama"